Git Branches#
Als je de repo met de opdracht hebt geforkt dan kan je ook alle branches mee krijgen, voor DEF-D heb je alleen de branch main.
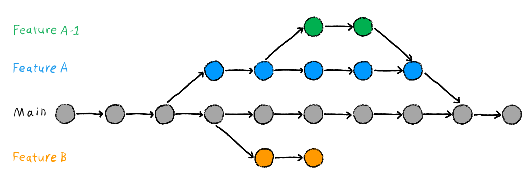
Een branch is een kopie van de repo, dit kan een kopie zijn van main, maar ook weer van een andere branch.
Jullie gaan een kopie van main maken.
Een branch wordt gebruikt om aan verschillende functionaliteiten te werken, voor ons betekent dat: een branch voor elke opdracht!
Jullie eerste branch zou iets zijn als: introductie.
Maak de branch voor de opdracht pas aan als je er ook echt aan gaat beginnen.
An illustration of branching in Git. Taken from here. Illustration by Scriberia. Used under a CC-BY 4.0 licence. DOI: The Turing Way Community & Scriberia (2024).
Voorbeeld: Branch maken#
Nu je de repo op je eigen account hebt geforkt, klikken we op de dropdown van de branches:

Dan om de nieuwe opdracht branch aan te maken typen we in de dropdown: ‘opdracht’ en klikken we: ‘create branch’.

In hetzelfde dropdown menu als eerst kan je nu switchen tussen de branches.
Voorbeeld: naar je branch switchen in VSCode#
Om dit in VSCode te doen, gaan we eerst jullie repo clonen naar VSCode en dan de goeie branch in.
In de terminal kan je dit typen nadat je gecloned hebt: git checkout <opdracht>.
Het kan ook via deze manier:
ga naar het menu van de repo in VSCode:

klik dan op de nieuwe
opdrachtbranch.
Pas als je in de goede branch zit, ga je werken aan je opdracht!
Terminal (optioneel)#
Je kan als je dat wilt ook werken met de command line (ook wel terminal genoemd). In dat geval zijn dit de commando’s die je gebruikt:
Branch maken en meteen ernaar toe switchen:
git checkout -b <naam van je nieuwe branch>.
Anders kan je git checkout <branchnaam> gebruiken.